Catalog Number|Packaging
Mat. No |
Ref. No |
No. of preps |
|
OSE-S16 |
1 set |
-
Features
Super easy to use
No extra pipetting work. The elution volume can be adjusted as required.
Contamination control and operator protection
The contamination control system adopts two mechanisms: the internal cross-contamination control system and ultraviolet sterilization system, to extensively avoid cross-contamination between columns and samples.
Preloaded reagents and matched disposable consumables
The chemical handling is eliminated to the greatest extent to ensure the operation safety.
-
Description
TGuide S16 Nucleic Acid Extractor can process 1~8 or up to 16 samples simultaneously by the magnetic rods to bind and transfer the magnetic beads, the 96-well plate or single-sample reagent cartridge and magnetic tip comb. TGuide S16 is an affordable choice for academic or industrial labs to extract nucleic acid automatically from various sample types, including animal and plant tissue, blood, virus, PCR product, agarose gel, etc.
-
Application
This instrument is suitable for the extraction and purification of nucleic acids in animals, plants, bacteria, cultured cells, blood, plasmids, viruses, etc. Cultured Cells
Cell
Tissue
Blood
Swab
Virus
Bacteria
Insects
DBS
Soil/Feces
Sewage
Fungi
Plant
Plasmid
PCR / Gel Recovery
FFPE
Food
-
Recommended Kits and Samples bank
TGuide Smart Universal RNA Kit (GDP671)
- Upgraded magnetic beads and system with better binding on RNA specificity
- Versatility: Covers most sample types, with nearly 150 samples extracted, including difficult samples such as those with high fat content.
- Excellent performance: Excellent RNA yield and integrity.
- Flexible operation: Can be operated manually with a magnetic rack or with automated extraction equipment.
The samples in the above table were taken in the recommended amounts according to the protocol. Using the TIANGEN Magnetic Hi-Tissue/Cell Total RNA Kit(GDP671), and the total RNA was extracted by the automated nucleic acid extractor. Elution by 100 μl and load 5 μl by electrophoresis.
→ Swipe left or right to view the full tableSpecies Sample bank Recommended Sample amount* Mammal Human (adrenal gland, liver, villus, synovial, hypopharyngeal carcinoma, pancreas, blood vessel, cartilage, whole blood, fat, stool, intestine)
Mouse (heart, liver, spleen, lung, kidney, brain, intestine, ovary, testis), fat, pancreas, muscle, skin, skeletal muscle, placenta, mammary gland)
Rat (heart, liver, spleen, lung, kidney, brain, intestine, ovary, testis), fat, pancreas, muscle, skin, ear, testis, epididymis, eye)
Sheep (fat, longissimus dorsi, rumen epithelium, rumen, ovary, liver)
New zealand rabbit (ear, aorta abdominalia, abdominal wall)
Pig (leaf lard, endometrium, muscle
Water buffalo (lung, spleen, muscle, heart, stomach, testis, placenta)
Dog (duodenum, lung), Camel (abomasum, muscle), Yellow weasel (gland)
Deer (cartilagenous), Monkey (kidney/brain)Spleen 5 mg, Liver 10 mg, Kidney 15 mg,
Intestine 15 mg, Gland 15 mg,
Tissue Heart 25 mg, Lung 25 mg,
Brain 25 mg, Fat 50 mg,
Skin 100 mg, Muscle 100 mg
Tail 0.3 cm for rats, 0.6 cm for mice
Fresh anti-coagulated blood 150 μL
Blood preserved in RNALock or PAXgene blood collection tubes < 1ml whole bloodCell Mesenchymal stem cell, Hepatoma carcinoma cell, Breast cancer cell 105-107 cells Poultry White-rumped munia (brain), Chicken (muscle, kidney), Duck (air sac, pancreasuropygial gland, blood vessel, kidney, bursa of Fabricius) 50-100 mg Amphibian and reptiles Rana nigromaculata (testis), Turtle (liver/muscle/tergum) Marine animal Fish (eye, muscle, tail fin, liver, physogill), Pseudosciaena crocea (gonad), Pomfret (intestine/tongue),
Pseudocrossocheilus bamaensis (fish skin) , Shrimp (liver/pancreas),
Haliotis discus (brain), Zebra fish (testis) , Babylonia (liver), Black sea bream (liver), Mangrove crab, Abalone, sea snail, OysterMicroorganism Beauveria bassiana , Ralstonia eutrophica, Klebsiella pneumoniae,
Porphyromonas gingivalis, E.coli, Agaricus bisporusYeast not more than 5×107
Fungus, Mould 25 mg, Mushrooms 75 mgOthers Haemaphysalis longicornis, Springtail, Nematode, Caenorhabditis elegans,
Cricket, Codling moth, Fall armywormInsect (Mollusc 25 mg, Crustacea 50 mg) Test data for some samples are from the client.
*Sample amount over load may result in varying degrees of beads residue in the eluate or ultra low yield and purity. Reduce input can solve above problem easily.
TGuide S16 Animal RNA Result Example (GDP661)
Experiment result: the animal tissue total RNA automatically extracted by TGuide S16 equipped with reagent TGuide Smart Blood/Cell/Tissue RNA Kit (GDP661) has high yield and purity, which is equivalent to the RNA extracted by the spin-column based extraction protocol. The purity is approximately the same, with OD260/OD280 around 2.0-2.1 and OD260/OD230 > 2.0. In conclusion, TGuide S16 can be used to extract the total RNA from animal tissues in replacement of spin-column based extraction protocol.
TGuide Smart Blood/Cell/Tissue RNA Kit
Recommended samples Recommended Sample amount* Note Cultured cells Cultured cells up to 1×10⁷, 293 / 293T 2×10⁶ Rat/mouse / human heart / liver / spleen / brain / lung / kidney / pancreas / arthrosis / cartilage / muscle Spleen 5 mg, liver/pancrease 10 mg, kidney 15 mg, heart / lung / ovary 25 mg, Joint / cartilage / muscle / brain 100 mg 1. Avoid using samples with frequent freezing and thawing;
2. Joint/cartilage need thoroughly homogenized;
3. Avoid unknown storage solution preservation.Blood Fresh whole blood 200 μl Red cell lysis buffer needed Duck (muscle) 100 mg Zebrafish, fish (muscle, heart, gill, intestinal) Heart/intestinal 25 mg, muscle/gill 100 mg Shrimp, shellfish, etc. Shrimp 25 mg, shellfish 50 mg Please remove fat clearly from the sample Breast cancer, pancreatic cancer 10 mg Test data for some samples are from the client.
*Sample amount over load may result in varying degrees of beads residue in the eluate or ultra low yield and purity. Reduce input can solve above problem easily.
TGuide S16 Universal DNA extraction (GDP605)
Experiment result: using TGuide S16 with reagent TGuide Smart Universal DNA Kit(GDP605) automatically extracted the genomic DNA of multiple samples including cell, tissue, blood, dried blood spot (DBS), Lactobacillus, E.coli, saliva, and swab, achieved good yield and high purity. The OD260/OD280 around 1.7-1.8, and OD260/OD230 > 1.6. Elution volume: 100 μl Agarose gel concentration: 1.5% Loading volume: 1 μl
→ Swipe left or right to view the full tableRecommended samples Recommended Sample amount* Note Cultured cells Cultured cells up to 1×10⁷, 293T/293T 2×10⁶ (Rat/mouse/human kidney/muscle ovary) Heart/spleen/liver/lung Spleen 5 mg, liver 10 mg, kidney 15 mg, Heart/lung/ovary 25 mg, muscle 50 mg High lipid content such as brain, difficult to fragment samples such as skin, cartilage (rat tail), Serum, Plasma Duck (muscle), fish (muscle, gill, intestinal) Heart/intestinal 25 mg, muscle/gill 50 mg Shrimp, shellfish, etc. Shrimp 25 mg, shellfish 50 mg Please remove fat clearly from the sample Mountain lizard (Eremias brenchleyi) leg muscles 50 mg Nematode body (C. elegans) 25 mg Human breast cancer tissue, adenoid cystic carcinoma 10 mg Blood Whole blood 200 μl, buffy coat 100 μl Dried blood spot 3-10 pieces Bacteria 1-5 μl of bacterial culture Saliva 300 μl Oral swabs 1 piece Test data for some samples are from the client.
*Sample amount over load may result in varying degrees of beads residue in the eluate or ultra low yield and purity. Reduce input can solve above problem easily. -
Parameters
ParametersModelTGuide S16 Liquid processing volume 20 μl~1000 μl Sample throughput 1 ~ 8 or 16 Variance between extraction and purification columns CV≤5% Lysis/elution temperature control range Room temperature ~120°C; Temperature rising time ≤ 5 min (within room temperature ~ 120°C) Temperature accuracy ≤±1°C Operation interface 4.3-inch touch screen, mobile terminal APP control Program storage Instrument storage memory ≤ 100 groups Data interface Compatible with bluetooth, USB and RS232 data transmission, and portable PC port transmission Contamination control Anti-aerosol fan, ultraviolet disinfection Power supply Input voltage: DC24V±10%; adapter: AC100-240V±10%, 50-60 Hz±5%; Support battery power supply Power Standby 10 W, maximum power 160 W External dimensions (W×D×H) 208 mm × 258 mm × 315 mm -
Required Reagent
Single cartridge reagent
Product name Mat. No TGuide Smart Magnetic Plant DNA Kit 4993548 TGuide Smart Magnetic RNA Kit 4993549 TGuide Smart Magnetic Tissue DNA Kit 4993547 TGuide Smart DNA Purification Kit 4993550 TGuide Smart Magnetic Tissue RNA Kit 4993552 TGuide Smart Blood/Cell/Tissue RNA Kit 4993551 TGuide Smart Magnetic Plant RNA Kit 4993703 TGuide Smart Viral DNA/RNA Kit 4993702 TGuide Smart Universal DNA Kit 4993704 TGuide Smart Envir-DNA Kit Coming soon Prefilled plate
Product name Mat. No TGuide Smart Magnetic Tissue DNA Kit 4995038 TGuide Smart Blood/Cell/Tissue RNA Kit 4995039 TGuide Smart Universal DNA Kit 4995040 -
Transportation and Sorage Requirements
Environmental temperature: 10℃-40℃
Relative humidity: ≤ 80%
Atmosphere pressure range: 500-1060 hpa
-
Quality Assurance
● Warranty content
Warranty is provided for faults due to material and manufacturing defects for twelve months from the date of delivery. During the warranty period, our company will selectively repair or replace
instruments that are proven to be defective. The products under warranty must be delivered by customer to the repair department designated by our company. The freight of the instrument from the
user to the maintenance department shall be paid by the user. Our company will bear the freight of returning the instrument to the user.
For repairs beyond the warranty, our company will charge appropriate maintenance costs.
● Warranty scope
The above warranty is not applicable to the damage caused by users' improper maintenance, use under non-conforming conditions, repair or modification without authorization.
After the instrument is unpacked, please check the contents according to the packing list. If you find that the items are damaged or missing, please contact TIANGEN
immediately.
Please keep the packing material properly for maintenance. TIANGEN will not be responsible for any damage due to improper packing on the way to the maintenance department.
-
Certification
For research use only.
For in vitro diagnostic use.
-
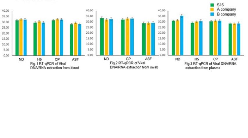
Results Example (4993550)
-
Free Trial Program
The Free Trial Program is opened for the TGuide S16 Nucleic Acid Extractor.
Inquire directly to learn more details. Or fill out the request form (https://forms.gle/vhkYj2f5Uezhpis49) to gain access to the application.
Open Region: United States, Singapore, Hongkong, etc. (Coming soon for other regions).
Experimental Example
Experiment result: using TGuide S16 with reagent TGuide Smart Universal DNA Kit (4993704)
to automatically extract the genomic DNA of multiple samples including cell,
tissue, blood, dried blood spot (DBS) , Lactobacillus, E.coli, saliva, and swab,etc,
achieved good yield and high purity. The OD260/OD280 around 1.7~1.9, and
OD260/OD230>1.6.
Elution volume:100 μl
Agarose gel concentration:1.5%
Loading volume:1 μl
-
Sort by
-
Date
Date(
)
Date
Date(
)
Impact Factor
IF(
)
Impact Factor
IF(
)
Inquire
